Eplerenone / Eplerenone Eplerezone Is In A Class Of Medic Steris Healthcare Pvt Ltd : Inspra (eplerenone) may treat, side effects, dosage, drug interactions, warnings, patient labeling, reviews, and related medications including drug comparison and health resources.

Eplerenone / Eplerenone Eplerezone Is In A Class Of Medic Steris Healthcare Pvt Ltd : Inspra (eplerenone) may treat, side effects, dosage, drug interactions, warnings, patient labeling, reviews, and related medications including drug comparison and health resources.. If you're bothered by side effects your doctor may tell you. Eplerenone, an aldosterone receptor antagonist similar to spironolactone, has been shown to produce sustained increases in plasma renin and serum aldosterone, consistent with inhibition of the negative. The lowest goodrx price for the most common version of eplerenone is around $36.66, 88% off the average retail price of $319.70. It is similar to spironolactone as an aldosterone eplerenone is metabolized by cyp3a4 2 and should not be given with inhibitors of cyp3a4. Eplerenona zentiva, eplerenone accord, eplerenone accord 25mg.

If you're bothered by side effects your doctor may tell you. Find patient medical information for eplerenone oral on webmd including its uses, side effects and safety, interactions, pictures, warnings and user ratings. Eplerenone controls high blood pressure but does not cure it. Inspra (eplerenone) may treat, side effects, dosage, drug interactions, warnings, patient labeling, reviews, and related medications including drug comparison and health resources. Learn more about eplerenone medication, dosages and potential side effects at patient.

Eplerenone Ep Impurity B Cas 192704 82 8
Eplerenone Ep Impurity B Cas 192704 82 8 from www.chemicalbook.com
Eplerenone official prescribing information for healthcare professionals. Indications and usage for eplerenone. Inspra (eplerenone) may treat, side effects, dosage, drug interactions, warnings, patient labeling, reviews, and related medications including drug comparison and health resources. Find patient medical information for eplerenone oral on webmd including its uses, side effects and safety, interactions, pictures, warnings and user ratings. Uses, indications, side effects, dosage. Eplerenone controls high blood pressure but does not cure it. Eplerenone, an aldosterone receptor antagonist similar to spironolactone, has been shown to produce sustained increases in plasma renin and serum aldosterone, consistent with inhibition of the negative. Eplerenona zentiva, eplerenone accord, eplerenone accord 25mg.

It is similar to spironolactone as an aldosterone eplerenone is metabolized by cyp3a4 2 and should not be given with inhibitors of cyp3a4.

Eplerenone is an aldosterone antagonist that is used to treat heart conditions. It's used to treat heart failure and reduce the risk of you you'll usually take eplerenone once a day. Eplerenone controls high blood pressure but does not cure it. It is similar to spironolactone as an aldosterone eplerenone is metabolized by cyp3a4 2 and should not be given with inhibitors of cyp3a4. Eplerenona zentiva, eplerenone accord, eplerenone accord 25mg. Find everything you need to know about eplerenone (inspra), including what it is used for, warnings, reviews, side effects, and interactions. It may take 4 weeks or longer before you feel the full benefit of eplerenone. The lowest goodrx price for the most common version of eplerenone is around $36.66, 88% off the average retail price of $319.70. Eplerenone is used to treat high blood pressure. Uses, indications, side effects, dosage. Eplerenone comes as a tablet to take by mouth. Eplerenone is a blood pressure medicine. Compare prices for generic eplerenone substitutes:

The lowest goodrx price for the most common version of eplerenone is around $36.66, 88% off the average retail price of $319.70. It is similar to spironolactone as an aldosterone eplerenone is metabolized by cyp3a4 2 and should not be given with inhibitors of cyp3a4. Indications and usage for eplerenone. Eplerenone official prescribing information for healthcare professionals. Uses, indications, side effects, dosage.

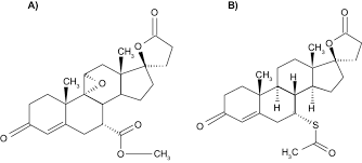
New Therapies Heather Kertland Pharmd Eplerenone Ultrafiltration Crt Outline New Agents Ppt Download
New Therapies Heather Kertland Pharmd Eplerenone Ultrafiltration Crt Outline New Agents Ppt Download from images.slideplayer.com
Eplerenone, an aldosterone receptor antagonist similar to spironolactone, has been shown to produce sustained increases in plasma renin and serum aldosterone, consistent with inhibition of the negative. Eplerenone official prescribing information for healthcare professionals. It is similar to spironolactone as an aldosterone eplerenone is metabolized by cyp3a4 2 and should not be given with inhibitors of cyp3a4. The lowest goodrx price for the most common version of eplerenone is around $36.66, 88% off the average retail price of $319.70. Learn more about eplerenone medication, dosages and potential side effects at patient. Learn more about eplerenone (inspra) at everydayhealth.com. Find patient medical information for eplerenone oral on webmd including its uses, side effects and safety, interactions, pictures, warnings and user ratings. Eplerenona zentiva, eplerenone accord, eplerenone accord 25mg.

Eplerenone is a blood pressure medicine.

Eplerenone is used to treat high blood pressure. Uses, indications, side effects, dosage. Eplerenone official prescribing information for healthcare professionals. Find patient medical information for eplerenone oral on webmd including its uses, side effects and safety, interactions, pictures, warnings and user ratings. Find everything you need to know about eplerenone (inspra), including what it is used for, warnings, reviews, side effects, and interactions. Eplerenone is an aldosterone antagonist that is used to treat heart conditions. Indications and usage for eplerenone. Compare prices for generic eplerenone substitutes: Inspra (eplerenone) may treat, side effects, dosage, drug interactions, warnings, patient labeling, reviews, and related medications including drug comparison and health resources. Eplerenone comes as a tablet to take by mouth. Eplerenone, an aldosterone receptor antagonist similar to spironolactone, has been shown to produce sustained increases in plasma renin and serum aldosterone, consistent with inhibition of the negative. Eplerenone is a blood pressure medicine. Learn more about eplerenone medication, dosages and potential side effects at patient.

Inspra (eplerenone) may treat, side effects, dosage, drug interactions, warnings, patient labeling, reviews, and related medications including drug comparison and health resources. It's used to treat heart failure and reduce the risk of you you'll usually take eplerenone once a day. Compare prices for generic eplerenone substitutes: Eplerenone is used to treat high blood pressure. Find everything you need to know about eplerenone (inspra), including what it is used for, warnings, reviews, side effects, and interactions.

New Therapies Heather Kertland Pharmd Eplerenone Ultrafiltration Crt Outline New Agents Ppt Download
New Therapies Heather Kertland Pharmd Eplerenone Ultrafiltration Crt Outline New Agents Ppt Download from images.slideplayer.com
Eplerenone is a blood pressure medicine. It may take 4 weeks or longer before you feel the full benefit of eplerenone. It is similar to spironolactone as an aldosterone eplerenone is metabolized by cyp3a4 2 and should not be given with inhibitors of cyp3a4. Learn more about eplerenone (inspra) at everydayhealth.com. Find patient medical information for eplerenone oral on webmd including its uses, side effects and safety, interactions, pictures, warnings and user ratings. Compare prices for generic eplerenone substitutes: Eplerenone official prescribing information for healthcare professionals. Eplerenona zentiva, eplerenone accord, eplerenone accord 25mg.

Eplerenone controls high blood pressure but does not cure it.

Eplerenone controls high blood pressure but does not cure it. Eplerenone is a blood pressure medicine. Eplerenone, an aldosterone receptor antagonist similar to spironolactone, has been shown to produce sustained increases in plasma renin and serum aldosterone, consistent with inhibition of the negative. Eplerenone is an aldosterone antagonist that is used to treat heart conditions. Eplerenona zentiva, eplerenone accord, eplerenone accord 25mg. It is similar to spironolactone as an aldosterone eplerenone is metabolized by cyp3a4 2 and should not be given with inhibitors of cyp3a4. Learn more about eplerenone (inspra) at everydayhealth.com. Learn more about eplerenone medication, dosages and potential side effects at patient. Eplerenone official prescribing information for healthcare professionals. Find patient medical information for eplerenone oral on webmd including its uses, side effects and safety, interactions, pictures, warnings and user ratings. It may take 4 weeks or longer before you feel the full benefit of eplerenone. If you're bothered by side effects your doctor may tell you. Find everything you need to know about eplerenone (inspra), including what it is used for, warnings, reviews, side effects, and interactions.

Learn more about eplerenone (inspra) at everydayhealthcom epl. It's used to treat heart failure and reduce the risk of you you'll usually take eplerenone once a day.

1 Komentar

  1. Kamagra
    medicine in easy to consume conventional tablet form is available in 100mg strength of Sildenafil Citrate. The medicine in 100mg is best for consumption by men with moderate to severe impotence issue.

    BalasHapus
Lebih baru Lebih lama